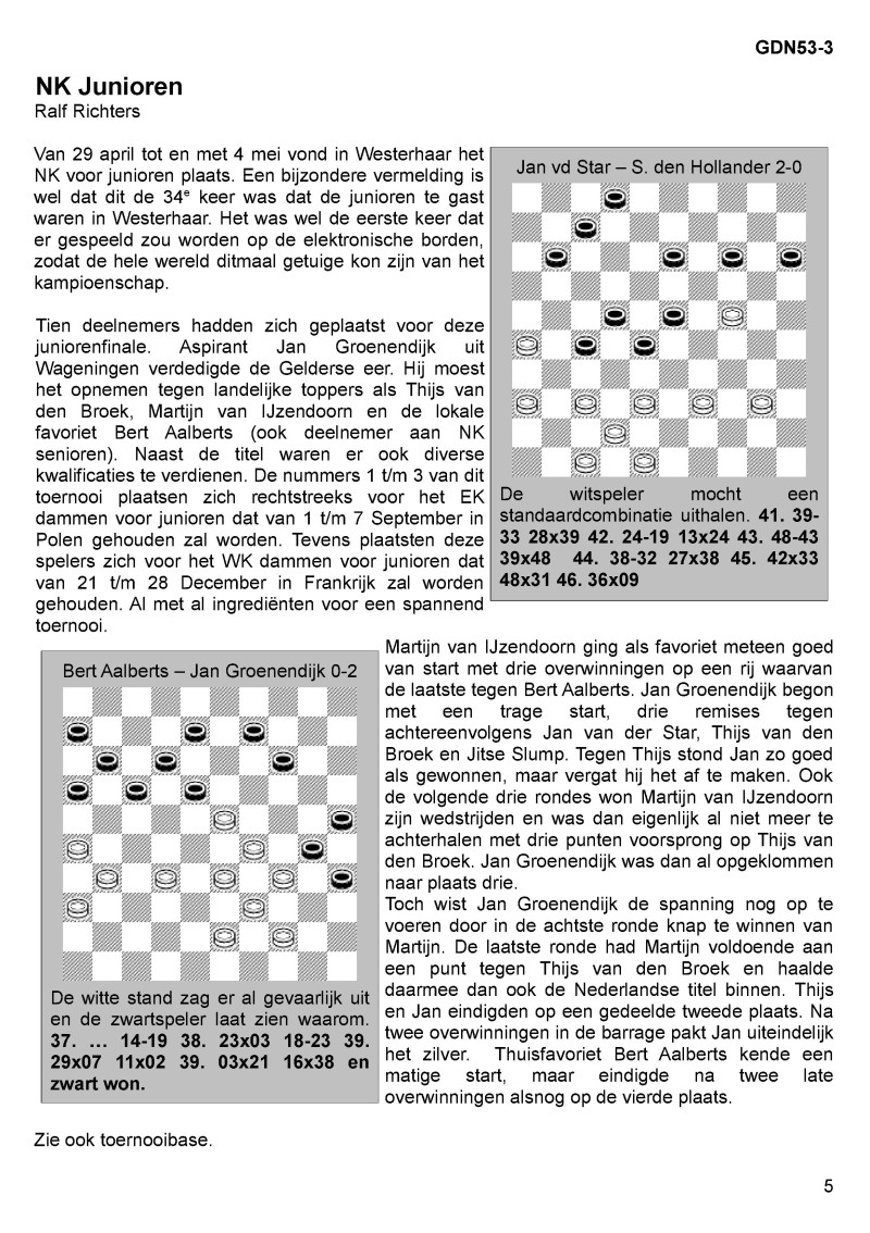
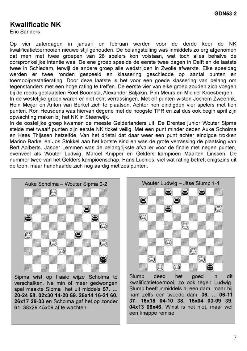
☰
Informatie
Home Verenigings informatie Overige nieuws
Route planner
Damkalender
Partijfragmenten
G Roeterdink - G de Graaf G Kruissink - G Roeterdink R Boomstra - G Roeterdink S Overeem - J Kromhout T Prinsen - J Koerselman T Knapen - M Bibbe T Knapen - N Jansen Zelf bedacht probleem D Joosten - T Berends T Berends - D Joosten C Donders - J Jacobs G Roeterdink - H Kleinrensink G Roeterdink - R Vredenberg H Kleinrensink - L Steyntjes J Jacobs - R Vredenberg L Steyntjes - C Donders L Steyntjes - P van den Brink R Vredenberg - H Kleinrensink G Roeterdink - W van den Berg E van de Weerdhof - J Kromhout T Roeterdink - G Roeterdink B Scholten - L de Rooij J Aalderink - W Kingma T Buijs - P van Ooijen R Evers - J Haijtink A van Ingen - O Donkers W Morssink - G Roeterdink J Meurs - F Elbertsen G Roeterdink - W Kingma Slagzet voor damschool M Bruinsma - G Roeterdink A Koedoet - G Roeterdink J Haijtink - E Harkink E Evers - E Weijman R Evers - M Klein Kranenbarg G Roeterdink - J Hoenink G Roeterdink - R Broekman

























































































































